近日,化材院宾德善/李丹团队在面向低成本钾离子电池体系应用的共价有机框架(COF)负极材料研究方面取得重要进展,相关结果以“Multiple Accessible Redox-Active Sites in a Robust Covalent Organic Framework for High-Performance Potassium Storage”为题发表在国际权威学术期刊《JACS》(美国化学会志,IF=16.38)上。
钾离子电池具备资源丰富、输出电压高等优势,有望在大规模储能、智能电网等多领域发挥重要价值。然而,K+的离子半径较大,其嵌入电极材料后引起严重体积膨胀,容易引发电极结构衰退,进而造成电池容量和倍率性能快速衰减。共价有机框架(COF)材料具有资源丰富、可设计性强、结构稳定等优势,有望成为设计具有突破性钾离子电池负极的新平台。然而,COFs作为储钾负极的应用必须兼顾具备高的活性位点、稳定的结构和有效的电荷储存通道。目前开发这样的块体(Bulk)COFs材料仍面临巨大挑战。团队报道了一种具有多重高效储钾位点的sp2-C共轭(π-共轭)块状共价有机框架材料(TQBQ-COF)用作高容量、能快速稳定储钾负极材料。

作者先对TQBQ-COFs结构单元进行了密度泛函理论(DFT)计算,以评估K+在TQBQ-COF负极中存储的可能性和可行性。该研究通过理论计算预测,共轭体系中的C=O、C=N基团和阳离子-π相互作用位点为K+的储存提供了丰富的氧化还原活性位点,并且可以缓冲钾化后的电极的体积形变。

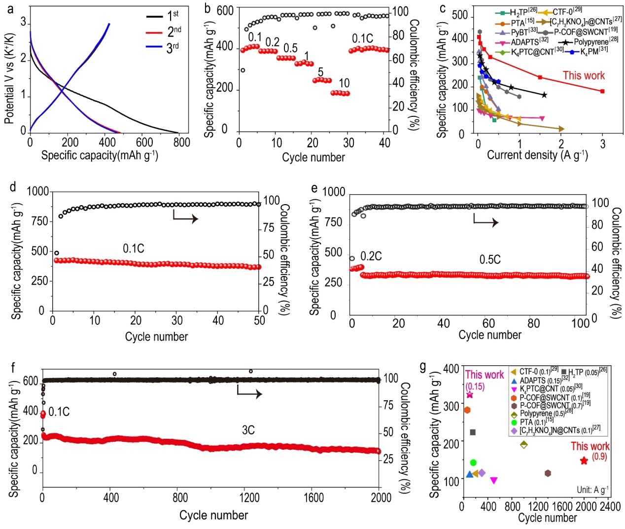
通过实验将环己六酮(CHHO)和2,3,5,6-四氨基苯醌(TABQ)进行缩聚反应,合成了TQBQ-COF。该COF中含有丰富的活性基团和多孔结构,展现出优异的储钾容量和快速的反应动力学。实验表征表明,该COF在电解液中的难溶解性和钾化后的低体积膨胀率可以使电极材料在反复充放电过程中高度循环稳定。电化学表征结果表明,作为储钾负极,该COF可在30 mA g-1的电流密度下获得423 mAh g-1的高可逆比容量,优异的倍率性能和良好的循环稳定性。
多种表征手段结合理论计算均表明了C=O、C=N基团和阳离子-π效应可以为K+的存储提供有效的氧化还原活性位点。本研究为高性能储钾的块状COF负极的设计开辟了新途径,同时也为高性能钾离子电池COF负极的储钾机制提供了新的思路。硕士生陈雪玲及谢默老师为本文共同第一作者。
该成果得到了国家自然科学基金、国家自然科学基金重点项目、广东省重大基础与应用基础计划、广东省自然科学杰出青年基金、广州市科技计划项目和英国威廉希尔唯一官网等项目的资助。
原文链接:https://pubs.acs.org/doi/10.1021/jacs.2c11264?ref=pdf
